Walau bagaimanapun Penentuan kadar nilai di bawah Kuasa Melulus telah dipinda dan perlu merujuk kepada Akta Perwakilan Kuasa 1956 PU. Garis panduan prosedur kerja pengurusan aset alih harta modal dan inventori ini dikeluarkan sejajar dengan 1 Pekeliling Perbendaharaan 1PP untuk perkara AM 11 Pengurusan Aset Kerajaan 1PPAM 21-27 Tatacara Pengurusan Aset Alih Kerajaan dan Peraturan Kewangan Universiti edisi terkini.
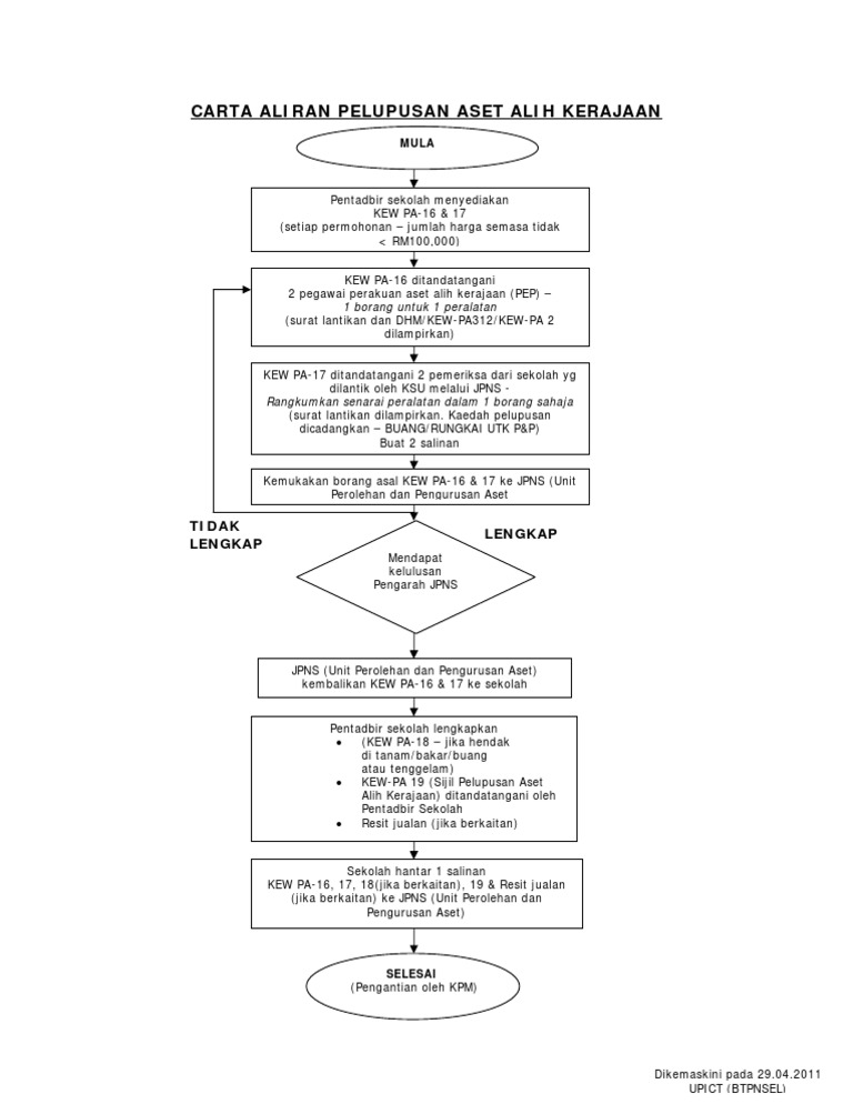
Carta Aliran Pelupusan Aset Alih Kerajaan
Pekeliling Perbendaharaan Bilangan 5 Tahun 2007.
Keaedah pelupusan aset alih kerajaan. Aset hidup ikan haiwan tumbuhan Aset Alih- 1. Aset Alih iaitu aset yang boleh dipindahkan dari satu tempat ke satu tempat yang lain termasuk yang. Setelah kelulusan diperolehi urusetia akan mengemukakan salinan kelulusan kepada Fakulti Institut Pusat.
Aset Alih yang disewa daripada syarikat pembekal pengilang seperti mesin fotostat kenderaan dan sebagainya tidak perlu didaftarkan di bawah tatacara Aset Alih Kerajaan. 234 TATACARA PENGURUSAN ASET ALIH KERAJAAN KP 262013 Pelupusan 1. Aset adalah barang tak luak yang nilai perolehan ialah RM 300000 dan keatas.
PEP diperlukan bagi semua aset mekanikal elektrikal dan elektronik. Aset Alih yang diterima melalui pembelian dengan wang kerajaan yang disewa beli dengan wang kerajaan yang diterima melalui hadiah pindahan dan melalui proses perundangan atau perjanjian hendaklah didaftarkan. Objektif Pendaftaran Pendaftaran aset adalah bertujuan untuk- 11 Mewujudkan pangkalan data yang lengkap tepat dan kemas kini.
Tatacara Pengurusan Aset Alih Kerajaan PP Bil. 20 SKOP Prosedur ini diguna pakai oleh Institut Pendidikan Guru Malaysia IPGM dan Institut Pendidikan Guru IPG bagi mematuhi Pekeliling Perbendaharaan 1PP AM 2 - Tatacara Pengurusan Aset Alih Kerajaan. Laporan Tindakan Surcaj Tatatertib v.
Rujukan PP - AM 23 Perkara 6 11. Jul 18 2020 ASET ALIH KERAJAAN TPA BAB E PELUPUSAN. Aset tak alih tanah bangunan infra 2.
Harta benda kepunyaan dan milikan kerajaan yang dibeli atau disewa dengan wang Kerajaan yang diterima melalui sumbangan atau hadiah atau secara perundangan. Bidang tugas JKPAK adalah merancang memantau mengawasi dan menyelia semua aspek pengurusan aset alih kerajaan4. Satu senarai aset alih yang disewa hendaklah disediakan oleh Kementerian Jabatan PTJ bagi tujuan rekod.
E Pegawai PEP Perakuan Pelupusan yang dilantik. 546 Menandatangani KEWPA-19 dan mengemukakan kepada Jabatan. 3Aset Alih bermaksud aset.
B 285 bertarikh 6 Ogos 2009. Laporan Tindakan Pelupusan iv. Aset alih harta modal inventori 3.
Dec 12 2012 laporan lembaga pemeriksa aset alih kerajaan kewpa-17 harga perolehan nilai semasa asal syor jabatan seuni jumla seuni nyatakan jumlah keadaan kaedah tarikh tempoh t h t keterangan kuantit pelupusabil unit pembelia digunakan aset aset i n dan bahagia n simpanan dengan justifika n jelas rm rm rm rm si jumlah keseluruhan bahagian perolehan dan. Aset Alih yang diterima melalui pembelian dengan wang kerajaan yang disewa beli dengan wang kerajaan yang diterima melalui hadiah pindahan dan melalui proses perundangan atau perjanjian hendaklah didaftarkan. Objektif 11 Pelupusan aset kerajaan bertujuan untuk - 111 Memastikan agensi Kerajaan tidak menyimpan aset yang.
TAKLIMAT TATACARA PELUPUSAN ASET ALIH KERAJAAN UNTUK. PEP bagi perkakasan komputer hendaklah disediakan oleh Pegawai Teknologi Maklumat KementerianJabatan. Penerimaan Kehilangan Pendaftaran dan Hapuskira Penggunaan Penyimpanan Pelupusan dan Pemeriksaan Penyelenggaraan 6.
A Nyatakan keadaan Aset Alih dengan jelas. 1Tatacara Pengurusan Aset Alih Kerajaan TPA ini adalah tatacara bagi menguruskan Harta Modal dan Inventori meliputi- 2Aset bermaksud harta benda kepunyaan atau milikan atau di bawah kawalan Kerajaan yang dibeli atau yang disewa beli dengan wang Kerajaan yang diterima melalui sumbangan atau hadiah atau diperolehi melalui proses perundangan. BAB E - PELUPUSAN Pelupusan ialah satu proses untuk mengeluarkan aset dari milikan kawalan simpanan dan rekod mengikut kaedah yang ditetapkan.
30 DOKUMEN RUJUKAN 31 IPGM-PPK-MK-01. 12 Memudahkan pengesanan dan pemantauan. Harta modal barang tidak luak yang bernilai RM300000.
Pelupusan aset alih serta mencadangkan kaedah pelupusan yang bersesuaian. Masalah-masalah berkaitan dengan pengurusan aset alih3. Pengurusan Aset Alih Kerajaan Pekeliling Perbendaharaan 1PP AM 2 yang ditetapkan.
Carta aliran pelupusan aset alih kerajaan 53 jadual 4 proses kerja pelupusan aset alih kerajaan 54 kewpa-15 surat lantikan ahli lembaga pemeriksa 55 kewpa-16 perakuan pelupusan pep 56 kewpa-17 laporan lembaga pemeriksa 57 kewpa-18 sijil penyaksian pemusnahan aset alih kerajaan 58 kewpa-19 sijil pelupusan aset alih kerajaan 59 ii. OBJEKTIF Pelupusan aset Kerajaan bertujuan untuk-a Memastikan Jabatan Kerajaan tidak menyimpan aset yang tidak boleh diguna atau tidak diperlukan. Borang Pelupusan Aset Alih Borang Pelupusan Aset Alih KEWPA-21 Lampiran C hendaklah disediakan seperti berikut- 61 KEWPA-21 hendaklah disediakan oleh Kementerian atau.
5 UNIT PENGURUSAN ASET UPA Bahagian Seksyen Unit Pengurusan Aset UPA adalah bertanggungjawab untuk menguruskan semua Aset Alih Aset Hidup Stor dan Aset Tak Ketara Kerajaan di KemJabPTJ di bawahnya kawalannya meliputi. KAEDAH PELUPUSAN nJualanJualan pLain-lain Tender Sebutharga Lainlain Pindahan. Garis Panduan Pelupusan Aset Kerajaan q Surat Pekeliling Perbendaharaan Bil.
Pekeliling Perbendaharaan Malaysia KP 262013 MS. ASET ALIH Aset kerajaan merupakan barang-barang awam yang dibeli dengan wang kerajaan atau dalam bentuk sumbangan dari agensi luar. 13 Membolehkan keadaan aset diketahui.
TATACARA PENGURUSAN ASET ALIH KERAJAAN KP 232013 Pendaftaran 1. Urusetia akan menyediakan kertas kerja pelupusan kepada kuasa melulus dan melaksanakan pelupusan mengikut kaedah yang diluluskan. Definisi 9Tanpa LembPemeriksa 2.
Dan 14 Memudahkan penyelenggaraan pelupusan dan penggantian aset. Nov 10 2014 Memastikan semua Aset Alih Kerajaan selain barangan elektronik dan komputer berdaftar. Dan b Syor kaedah pelupusan dan justifikasi.
Mar 31 2012 Laporan Hasil Pemeriksaan Aset Alih Kerajaan iii.
Lampiran Kew Pa 20 Laporan Tahunan Pelupusan Aset Alih Kerajaan

Pelupusan Aset Alih Kerajaan Dengan Kaedah Secara Sebutharga Bagi Enjin Bot Apm Wilayah Persekutuan Labuan Apm Angkatan Pertahanan Awam Malaysia
Senarai Semak Pelupusan Aset Alih Kerajaan

Mac 2020 Apm Angkatan Pertahanan Awam Malaysia

Pelupusan Aset Alih Kerajaan Dengan Kaedah Secara Sebutharga Bagi Jet Ski Apm Negeri Kedah Apm Angkatan Pertahanan Awam Malaysia
Pelupusan Aset Alih Kerajaan Portal Rasmi Majlis Daerah Cameron Highlands Mdch
Carta Aliran Pelupusan Aset Alih Kerajaan

Kew Pa 19 Sijil Pelupusan Aset Alih